Theoretical Quantum Information and Optics Group
News
- New paper introducing a new phase imaging technique

Check out our new Science Advances paper, a collaboration with Radek Łapkiewicz's group. We introduces a new phase imagig technique that works when conventional interferometric techniques fail due to noise.
- New graduate student in our group

Chandler Rheid Tarrant joined our group. Welcome Chandler!
- New paper demonstrating a new entanglement measurement technique

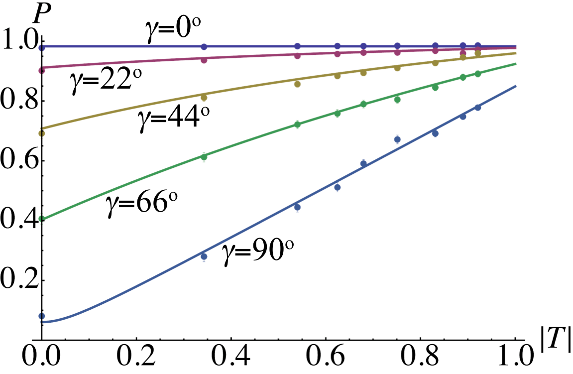
Check out our new Physical Review Letters paper, in which we have deonstrated a new entanglement measurement technique. This method allows to measure entanglement in a specific type of mixed qubit state without detecting one of the particles. The experiment was performed in the lab of Anton Zeilinger (Physics Nobel Laureate 2022). Other collaborators are Gabriela B. Lemos and Radek Lapkiewicz. A theoretical description of the experiment was published before in Physical Review A. - New article in Reviews of Modern Physics

Mayukh, jointly with colleagues, published an article in Reviews of Modern Physics. One of the coauthors is Prof. Anton Zeilinger, who won the 2022 Nobel Prize in Physics. This article highlights new research directions in quantum information science, which are based on a unique concept namely, quantum indistinguishability by path identity. The concept of path idenity was introduced in 1990's, but was then almost forgotten; research in the past few years awakened this sleeping beauty. - Toutorial on quantum imaging and metrology published in JOSA B

Mayukh, with his colleages, have written a tutorial on quantum imaging and metrology with undetected photons. It is published in the Journal of the Optical Society of America B. - New graduate student in our group

Salini Rajeev joined our group.
Welcome Salini!
- Accepting graduate and undergraduate students
If you are interested in quantum optics and information science, please send a note mlahiri [at] okstate [dot] edu. Follow this link to apply to Oklahoma State University. - New publication in Physical Review A

We have shown for the first time that the entanglement in a two-particle mixed state can be verified and measured by detecting only one of the particles. The work is published in Physical Review A. This theoretical work is supported by experimental evidence, which can be found here.
- New postdoc in our group

Dr. Balakrishnan Viswanathan joined our group. Welcome Balakrishnan!
- New Article in Progress in Optics

Mayukh's new article is published in Progress in Optics. The link is here.
- Our research is published in Physical Review A

We show that induced coherence without induced emission is truly quantum mechanical. The paper is published in Phys. Rev. A.