Skip to main content
OKState.edu
Quicklinks
/
Search
Apply
Close
Search
Search this site
Search
Search this site
All of Oklahoma State University
Directory
A-Z Site Index
Quicklinks
Logins
myOKSTATE
Email
O-Key Account
Canvas
Academic Schedule
Academic Calendar
Catalog
Class Schedule
Registrar
Places & Departments
Bookstore
Bursar
IT Helpdesk
Library
Parking & Transit
Student Union
Trending Now
Reslife Dates and Deadlines
OSU Events
Campus Map
The College of
Arts and Sciences
MENU
Open Main Menu
CLOSE
Close Main Menu
About The College
Departments & Programs
Research
Outreach
Online
Info for
Undergraduate Students
Graduate Students
Faculty and Staff
Alumni
About The College
Departments & Programs
Research
Outreach
Online
Info for
Undergraduate Students
Graduate Students
Faculty and Staff
Alumni
Apply
Search
Search this site
Search
Search this site
All of Oklahoma State University
Directory
A-Z Site Index
Quicklinks
Logins
myOKSTATE
Email
O-Key Account
Canvas
Academic Schedule
Academic Calendar
Catalog
Class Schedule
Registrar
Places & Departments
Bookstore
Bursar
IT Helpdesk
Library
Parking & Transit
Student Union
Trending Now
Reslife Dates and Deadlines
OSU Events
Campus Map
Home
Department of Physics
About Us
Dr. Lahiri's Lab
Gallery
Gallery
Visual Journey of Dr. Lahiri's Lab
We introduced a new phase imagig technique that works when conventional interferometric techniques fail due to noise.
Dr. Lahiri
We have demonstrated a new entanglement measurement technique.
Dr. Lahiri
New research directions in quantum information science, which are based on a unique concept namely, quantum indistinguishability by path identity.
Dr. Lahiri
Mayukh, with his colleages, have written a tutorial on quantum imaging and metrology with undetected photons.
Dr. Lahiri
We have shown for the first time that the entanglement in a two-particle mixed state can be verified and measured by detecting only one of the particles.
Dr. Lahiri
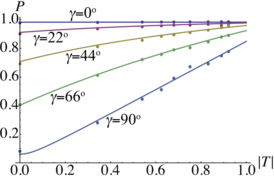
We discuss the connection between complementarity in quantum mechanics and the phenomenon of partial polarization.
Dr. Lahiri
We show that induced coherence without induced emission is truly quantum mechanical.
Dr. Lahiri
Dr. Lahiri
Dr. Lahiri
Dr. Lahiri's Lab
Announcements
Photos
Research
Research Team
Back To Top